KLASTER 3 – Pelayanan Pemeriksaan Umum

Alur pelayanan kesehatan umum

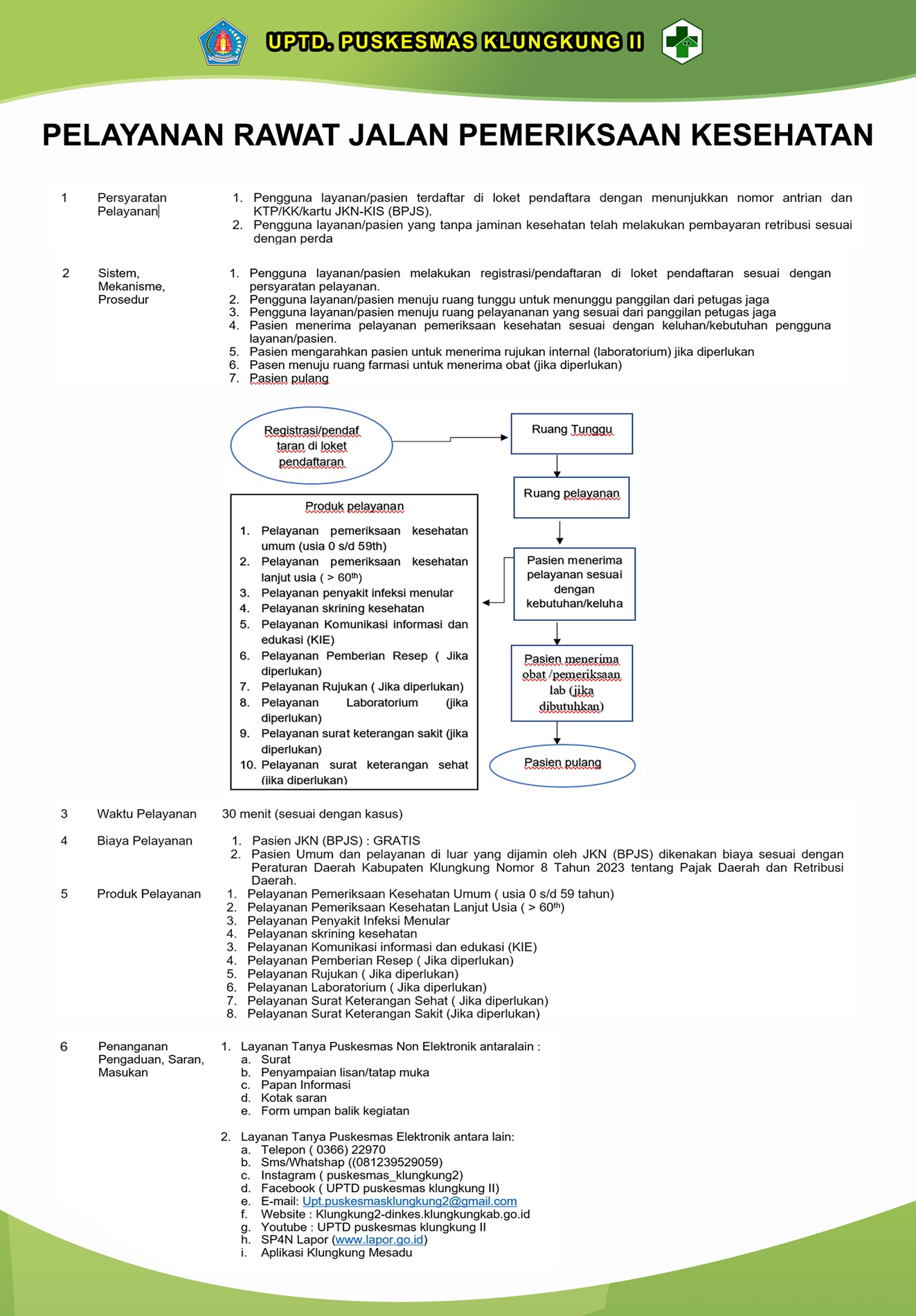
PELAYANAN RAWAT JALAN PEMERIKSAAN KESEHATAN

1 Persyaratan Pelayanan
  1. Pengguna layanan/pasien terdaftar di loket pendaftara dengan menunjukkan nomor antrian dan KTP/KK/kartu JKN-KIS (BPJS).
  2. Pengguna layanan/pasien yang tanpa jaminan kesehatan telah melakukan pembayaran retribusi sesuai dengan perda
2 Sistem, Mekanisme, Prosedur
  1. Pengguna layanan/pasien melakukan registrasi/pendaftaran di loket pendaftaran sesuai dengan persyaratan pelayanan.
  2. Pengguna layanan/pasien menuju ruang tunggu untuk menunggu panggilan dari petugas jaga
  3. Pengguna layanan/pasien menuju ruang pelayananan yang sesuai dari panggilan petugas jaga
  4. Pasien menerima pelayanan pemeriksaan kesehatan sesuai dengan keluhan/kebutuhan pengguna layanan/pasien.
  5. Pasien mengarahkan pasien untuk menerima rujukan internal (laboratorium) jika diperlukan
  6. Pasen menuju ruang farmasi untuk menerima obat (jika diperlukan)
  7. Pasien pulang
3 Waktu Pelayanan 30 menit (sesuai dengan kasus)
4 Biaya Pelayanan
  1. Pasien JKN (BPJS) : GRATIS
  2. Pasien Umum dan pelayanan di luar yang dijamin oleh JKN (BPJS) dikenakan biaya sesuai dengan Peraturan Daerah Kabupaten Klungkung Nomor 8 Tahun 2023 tentang Pajak Daerah dan Retribusi Daerah.
5 Produk Pelayanan
  1. Pelayanan Pemeriksaan Kesehatan Umum (usia 0 s/d 59 tahun)
  2. Pelayanan Pemeriksaan Kesehatan Lanjut Usia (> 60th)
  3. Pelayanan Penyakit Infeksi Menular
  4. Pelayanan skrining kesehatan
  5. Pelayanan Komunikasi informasi dan edukasi (KIE)
  6. Pelayanan Pemberian Resep (Jika diperlukan)
  7. Pelayanan Rujukan (Jika diperlukan)
  8. Pelayanan Laboratorium (Jika diperlukan)
  9. Pelayanan Surat Keterangan Sehat (Jika diperlukan)
  10. Pelayanan Surat Keterangan Sakit (Jika diperlukan)
6 Penanganan Pengaduan, Saran, Masukan
  1. Layanan Tanya Puskesmas Non Elektronik antaralain :
    1. Surat
    2. Penyampaian lisan/tatap muka
    3. Papan Informasi
    4. Kotak saran
    5. Form umpan balik kegiatan
  2. Layanan Tanya Puskesmas Elektronik antara lain:
    1. Telepon (0366) 22970
    2. Sms/Whatshap (081239529059)
    3. Instagram (puskesmas_klungkung2)
    4. Facebook (UPTD puskesmas klungkung II)
    5. E-mail: Upt.puskesmasklungkung2@gmail.com
    6. Website : Klungkung2-dinkes.klungkungkab.go.id
    7. Youtube : UPTD puskesmas klungkung II
    8. SP4N Lapor (www.lapor.go.id)
    9. Aplikasi Klungkung Mesadu