KLASTER 2 – Pelayanan Kesehatan Ibu

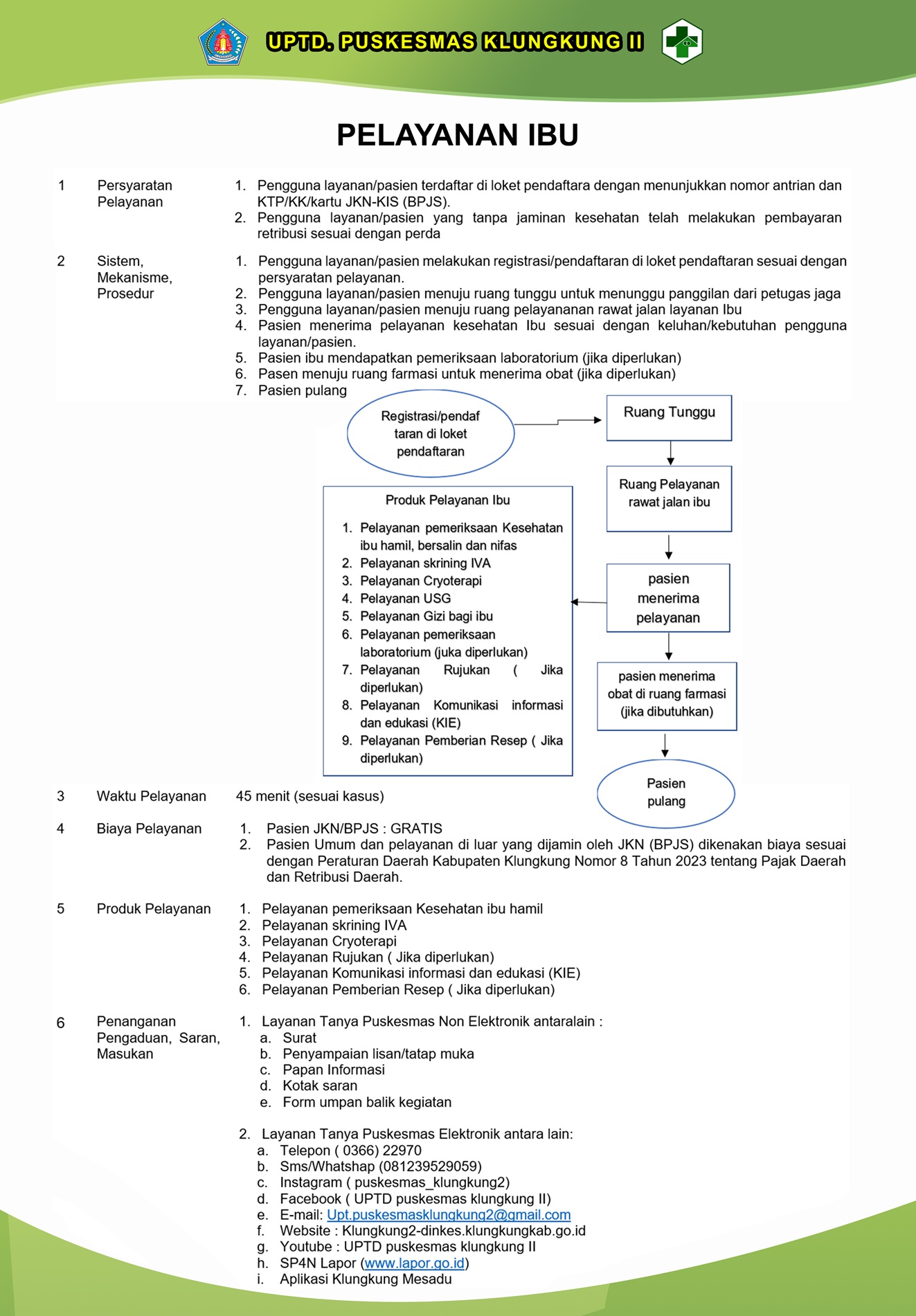
alur pelayanan ibuPELAYANAN RAWAT JALAN LAYANAN IBU

1 Persyaratan Pelayanan
  1. Pengguna layanan/pasien terdaftar di loket pendaftara dengan menunjukkan nomor antrian dan KTP/KK/kartu JKN-KIS (BPJS).
  2. Pengguna layanan/pasien yang tanpa jaminan kesehatan telah melakukan pembayaran retribusi sesuai dengan perda
2 Sistem, Mekanisme, Prosedur
  1. Pengguna layanan/pasien melakukan registrasi/pendaftaran di loket pendaftaran sesuai dengan persyaratan pelayanan.
  2. Pengguna layanan/pasien menuju ruang tunggu untuk menunggu panggilan dari petugas jaga
  3. Pengguna layanan/pasien menuju ruang pelayananan rawat jalan layanan Ibu
  4. Pasien menerima pelayanan kesehatan Ibu sesuai dengan keluhan/kebutuhan pengguna layanan/pasien.
  5. Pasien ibu mendapatkan pemeriksaan laboratorium (jika diperlukan)
  6. Pasen menuju ruang farmasi untuk menerima obat (jika diperlukan)
  7. Pasien pulang
3 Waktu Pelayanan 45 menit (sesuai kasus)
4 Biaya Pelayanan
  1. Pasien JKN/BPJS : GRATIS
  2. Pasien Umum dan pelayanan di luar yang dijamin oleh JKN (BPJS) dikenakan biaya sesuai dengan Peraturan Daerah Kabupaten Klungkung Nomor 8 Tahun 2023 tentang Pajak Daerah dan Retribusi Daerah.
5 Produk Pelayanan
  1. Pelayanan pemeriksaan Kesehatan ibu hamil
  2. Pelayanan skrining IVA
  3. Pelayanan Cryoterapi
  4. Pelayanan Rujukan (Jika diperlukan)
  5. Pelayanan Komunikasi informasi dan edukasi (KIE)
  6. Pelayanan Pemberian Resep (Jika diperlukan)
6 Penanganan Pengaduan, Saran, Masukan
  1. Layanan Tanya Puskesmas Non Elektronik antara lain :
    1. Surat
    2. Penyampaian lisan/tatap muka
    3. Papan Informasi
    4. Kotak saran
    5. Form umpan balik kegiatan
  2. Layanan Tanya Puskesmas Elektronik antara lain:
    1. Telepon (0366) 22970
    2. Sms/Whatshap (081239529059)
    3. Instagram (puskesmas_klungkung2)
    4. Facebook (UPTD puskesmas klungkung II)
    5. E-mail: Upt.puskesmasklungkung2@gmail.com
    6. Website : Klungkung2-dinkes.klungkungkab.go.id
    7. Youtube : UPTD puskesmas klungkung II
    8. SP4N Lapor (www.lapor.go.id)
    9. Aplikasi Klungkung Mesadu