
PELAYANAN TINDAKAN DAN GAWAT DARURAT (UGD)
| 1 |
Persyaratan Pelayanan |
- Sudah dilakukan skrining status kegawat daruratan
- Bagi pasien dengan kegawat daruratan menunjukkan KTP/KK/kartu JKN-KIS (BPJS).
- Bagi pengguna layanan/pasien yang bukan kegawat daruratan terdaftar di loket pendaftara dengan menunjukkan nomor antrian dan KTP/KK/kartu JKN-KIS (BPJS).
- Pengguna layanan/pasien yang tanpa jaminan kesehatan telah melakukan pembayaran retribusi sesuai dengan perda
|
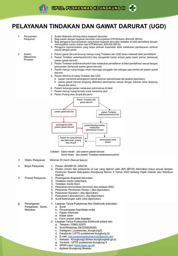
| 2 |
Sistem, Mekanisme, Prosedur |
- Pasien gawat darurat lansung menuju ruang Tindakan dan UGD tanpa melewati loket pendaftaran
- Pasien Tindakan sederhana/kontrol luka mengambil nomor antrian pada mesin antrian (terkecuali pasien gawat darurat).
- Pasien Tindakan sederhana/kontrol luka melakukan pendaftaran di loket pendaftaran sesuai dengan persyaratan (terkecuali pasien gawat darurat)
- Pasien menuju ruang tunggu untuk menunggu panggilan dari petugas jaga (terkecuali pasien gawat darurat)
- Pasien diterima di ruang Tindakan dan UGD
- pasien menerima penanganan sesuai keluhan (pemeriksaan lab apabila diperlukan)
- pasien gawat darurat langsung dilakukan penanganan sesuai dengan keluhan (bisa langsung dirujuk jika perlu)
- Pasien/ keluarga pasien melakukan administrasi di loket
- Pasien menuju ruang farmasi untuk menerima obat
- Pasien Pulang atau dirujuk jika perlu
|
| 3 |
Waktu Pelayanan |
Minimal 45 menit (Sesuai kasus) |
| 4 |
Biaya Pelayanan |
- Pasien JKN/BPJS: GRATIS
- Pasien Umum dan pelayanan di luar yang dijamin oleh JKN (BPJS) dikenakan biaya sesuai dengan Peraturan Daerah Kabupaten Klungkung Nomor 8 Tahun 2023 tentang Pajak Daerah dan Retribusi Daerah.
|
| 5 |
Produk Pelayanan |
- Penanganan Kegawat daruratan
- Tindakan medis sederhana
- Tindakan medis Kecil
- Pelayanan Komunikasi informasi dan edukasi (KIE)
- Pelayanan Pemberian Resep ( Jika diperlukan)
- Pelayanan Rujukan ( Jika diperlukan)
- Pelayanan Laboratorium ( Jika diperlukan)
- Surat keterangan sakit (Jika diperlukan)
|
| 6 |
Penanganan Pengaduan, Saran, Masukan |
- Layanan Tanya Puskesmas Non Elektronik antaralain :
- Surat
- Penyampaian lisan/tatap muka
- Papan Informasi
- Kotak saran
- Form umpan balik kegiatan
- Layanan Tanya Puskesmas Elektronik antara lain:
- Telepon ( 0366) 22970
- Sms/Whatshap (081239529059)
- Instagram ( puskesmas_klungkung2)
- Facebook ( UPTD puskesmas klungkung II)
- E-mail: Upt.puskesmasklungkung2@gmail.com
- Website : Klungkung2-dinkes.klungkungkab.go.id
- Youtube : UPTD puskesmas klungkung II
- SP4N Lapor (www.lapor.go.id)
- Aplikasi Klungkung Mesadu
|