
PELAYANAN RAWAT JALAN LAYANAN KB
| 1 |
Persyaratan Pelayanan |
- Pengguna layanan/pasien terdaftar di loket pendaftara dengan menunjukkan nomor antrian dan KTP/KK/kartu JKN-KIS (BPJS).
- Pengguna layanan/pasien yang tanpa jaminan kesehatan telah melakukan pembayaran retribusi sesuai dengan perda
|
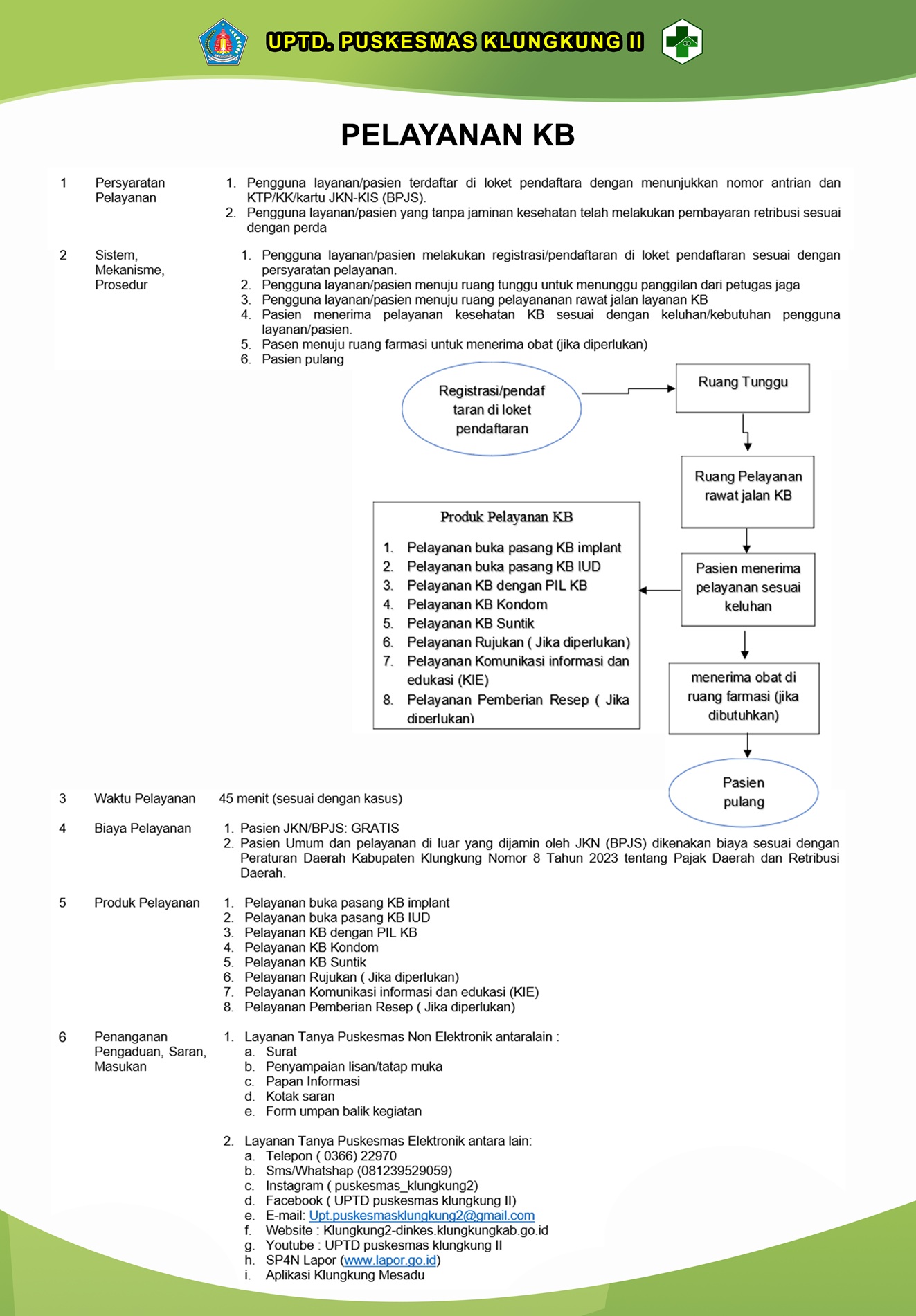
| 2 |
Sistem, Mekanisme, Prosedur |
- Pengguna layanan/pasien melakukan registrasi/pendaftaran di loket pendaftaran sesuai dengan persyaratan pelayanan.
- Pengguna layanan/pasien menuju ruang tunggu untuk menunggu panggilan dari petugas jaga
- Pengguna layanan/pasien menuju ruang pelayananan rawat jalan layanan KB
- Pasien menerima pelayanan kesehatan KB sesuai dengan keluhan/kebutuhan pengguna layanan/pasien.
- Pasen menuju ruang farmasi untuk menerima obat (jika diperlukan)
- Pasien pulang
|
| 3 |
Waktu Pelayanan |
45 menit (sesuai dengan kasus) |
| 4 |
Biaya Pelayanan |
- Pasien JKN/BPJS: GRATIS
- Pasien Umum dan pelayanan di luar yang dijamin oleh JKN (BPJS) dikenakan biaya sesuai dengan Peraturan Daerah Kabupaten Klungkung Nomor 8 Tahun 2023 tentang Pajak Daerah dan Retribusi Daerah.
|
| 5 |
Produk Pelayanan |
- Pelayanan buka pasang KB implant
- Pelayanan buka pasang KB IUD
- Pelayanan KB dengan PIL KB
- Pelayanan KB Kondom
- Pelayanan KB Suntik
- Pelayanan Rujukan (Jika diperlukan)
- Pelayanan Komunikasi informasi dan edukasi (KIE)
- Pelayanan Pemberian Resep (Jika diperlukan))
|
| 6 |
Penanganan Pengaduan, Saran, Masukan |
- Layanan Tanya Puskesmas Non Elektronik antaralain :
- Surat
- Penyampaian lisan/tatap muka
- Papan Informasi
- Kotak saran
- Form umpan balik kegiatan
- Layanan Tanya Puskesmas Elektronik antara lain:
- Telepon (0366) 22970
- Sms/Whatshap (081239529059)
- Instagram (puskesmas_klungkung2)
- Facebook (UPTD puskesmas klungkung II)
- E-mail: Upt.puskesmasklungkung2@gmail.com
- Website : Klungkung2-dinkes.klungkungkab.go.id
- Youtube : UPTD puskesmas klungkung II
- SP4N Lapor (www.lapor.go.id)
- Aplikasi Klungkung Mesadu
|